Powered by Invision Power Board


Pages : (4) « Première ... 2 3 [4]  ( Aller vers premier message non lu ) Reply to this topicStart new topicStart Poll

> Championnat Confiné 2020 - Course 5
webmestre
Ecrit le : Lundi 18 Mai 2020 à 21h22
Quote Post


Membre avancé
***

Groupe : Administrateur
Messages : 4532
Membre n° : 12
Inscrit le : 10/02/2004



Résultats des Essais :
série 1 :
user posted image

série 2 :
user posted image

série 3 :
user posted image

Cumul:
user posted image


Voici les grilles suivantes :

série 1 :
1 Timmo LEFOL
2 Fabien Divry
3 Remy Havet
4 Emiel de Jong - #211
5 Louis Lejeune
6 Anthony Kizirian
7 Cyrille Jan
8 Jouke Heddema
9 Nathan JAROUSSEAU
10 hki chinpal
11 Louka Poulain
Superviseurs :

série 2 :
1 Thibault Martinet
2 Joshua Boucard
3 Fred RABAUD
4 julien gavard
5 Matteo GOUZERH
6 Laurent HOT
7 Gabriele,Alexis
8 Guillaume JAUD
9 Benoit Hot
10 Stephane Galut
11 Nathan Moreau
Superviseurs :

série 3 :
1 Kenrick Hot
2 Sylvain GIRAUD
3 Harry LEFOL
4 Thomas Hamelet
5 sebastien feuillerat
6 Sulyvann Pelletier
7 Mathieu_Morineau
8 Rodolphe Bernard
9 jdehaan - H622
10 Enzo Gautron
Superviseurs :

Vous pouvez aller sur votre serveur.


--------------------
Olivier HOT - Webmestre de ce site alias fast_fan sur rFactor
PMEmail PosterUsers WebsiteYahooMSN
Top
webmestre
Ecrit le : Lundi 18 Mai 2020 à 21h42
Quote Post


Membre avancé
***

Groupe : Administrateur
Messages : 4532
Membre n° : 12
Inscrit le : 10/02/2004



Résultats de la manche A :
série 1 :
user posted image

série 2 :
user posted image

série 3 :
user posted image

Cumul:
user posted image


Voici les grilles suivantes :

série 1 :
1 Timmo LEFOL
2 Matteo GOUZERH
3 sebastien feuillerat
4 Anthony Kizirian
5 Gabriele,Alexis
6 Sylvain GIRAUD
7 Louis Lejeune
8 Laurent HOT
9 Louka Poulain
10 Nathan JAROUSSEAU
Superviseurs :

série 2 :
1 Fred RABAUD
2 Kenrick Hot
3 julien gavard
4 Mathieu_Morineau
5 Harry LEFOL
6 Benoit Hot
7 Rodolphe Bernard
8 Sulyvann Pelletier
9 jdehaan - H622
10 Nathan Moreau
11 Stephane Galut
Superviseurs :

série 3 :
1 Thomas Hamelet
2 Fabien Divry
3 Remy Havet
4 Thibault Martinet
5 Jouke Heddema
6 Emiel de Jong - #211
7 Guillaume JAUD
8 Cyrille Jan
9 Joshua Boucard
10 Enzo Gautron
11 hki chinpal
Superviseurs :

Vous pouvez aller sur votre serveur.


--------------------
Olivier HOT - Webmestre de ce site alias fast_fan sur rFactor
PMEmail PosterUsers WebsiteYahooMSN
Top
webmestre
Ecrit le : Lundi 18 Mai 2020 à 22h08
Quote Post


Membre avancé
***

Groupe : Administrateur
Messages : 4532
Membre n° : 12
Inscrit le : 10/02/2004



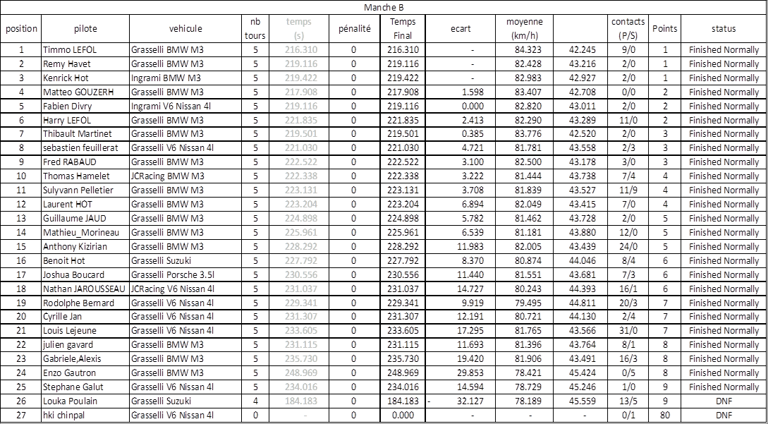
Résultats de la manche B :
série 1 :
user posted image

série 2 :
user posted image

série 3 :
user posted image

Cumul:
user posted image


Voici les grilles suivantes :

série 1 :
1 Timmo LEFOL
2 Harry LEFOL
3 sebastien feuillerat
4 Thomas Hamelet
5 Anthony Kizirian
6 Joshua Boucard
7 Rodolphe Bernard
8 Enzo Gautron
9 Louka Poulain
Superviseurs :

série 2 :
1 Remy Havet
2 Matteo GOUZERH
3 Fred RABAUD
4 Sulyvann Pelletier
5 Guillaume JAUD
6 Nathan JAROUSSEAU
7 Cyrille Jan
8 julien gavard
9 hki chinpal
Superviseurs :

série 3 :
1 Kenrick Hot
2 Fabien Divry
3 Thibault Martinet
4 Laurent HOT
5 Mathieu_Morineau
6 Benoit Hot
7 Louis Lejeune
8 Gabriele,Alexis
9 Stephane Galut
Superviseurs :

Vous pouvez aller sur votre serveur.


--------------------
Olivier HOT - Webmestre de ce site alias fast_fan sur rFactor
PMEmail PosterUsers WebsiteYahooMSN
Top
webmestre
Ecrit le : Lundi 18 Mai 2020 à 22h28
Quote Post


Membre avancé
***

Groupe : Administrateur
Messages : 4532
Membre n° : 12
Inscrit le : 10/02/2004



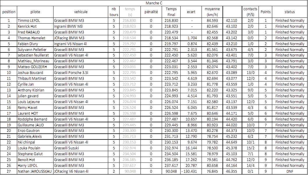
Résultats de la manche C :
série 1 :
user posted image

série 2 :
user posted image

série 3 :
user posted image

Cumul:
user posted image

Cumul A B C:
user posted image


Voici les grilles suivantes :

série 1 :
1 Timmo LEFOL
2 Fred RABAUD
3 Fabien Divry
4 Remy Havet
5 Sulyvann Pelletier
6 Mathieu_Morineau
7 julien gavard
8 Laurent HOT
9 Cyrille Jan
10 Louis Lejeune
11 Benoit Hot
12 Enzo Gautron
13 Louka Poulain
14 hki chinpal
Superviseurs :

série 2 :
1 Kenrick Hot
2 Thomas Hamelet
3 Matteo GOUZERH
4 sebastien feuillerat
5 Thibault Martinet
6 Harry LEFOL
7 Anthony Kizirian
8 Joshua Boucard
9 Guillaume JAUD
10 Gabriele,Alexis
11 Rodolphe Bernard
12 Nathan JAROUSSEAU
13 Stephane Galut
14 Sylvain GIRAUD
Superviseurs :

Vous pouvez aller sur votre serveur.


--------------------
Olivier HOT - Webmestre de ce site alias fast_fan sur rFactor
PMEmail PosterUsers WebsiteYahooMSN
Top
webmestre
Ecrit le : Lundi 18 Mai 2020 à 22h50
Quote Post


Membre avancé
***

Groupe : Administrateur
Messages : 4532
Membre n° : 12
Inscrit le : 10/02/2004



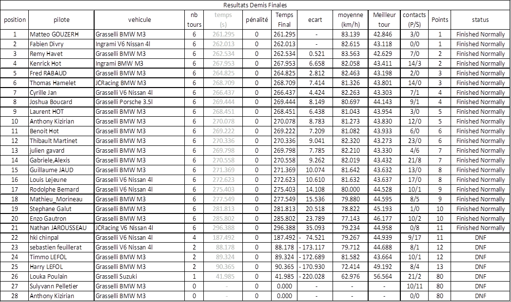
Résultats des demi finales :
série 1 :
user posted image

série 2 :
user posted image

Cumul:
user posted image


Voici la grilles de la finale (SERVEUR 1):
1 Matteo GOUZERH
2 Fabien Divry
3 Remy Havet
4 Kenrick Hot
5 Fred RABAUD
6 Thomas Hamelet
7 Cyrille Jan
8 Joshua Boucard
9 Laurent HOT
10 Anthony Kizirian
11 Benoit Hot
12 Thibault Martinet
13 julien gavard
14 Gabriele,Alexis
15 Guillaume JAUD

Vous pouvez aller sur le serveur 1.


--------------------
Olivier HOT - Webmestre de ce site alias fast_fan sur rFactor
PMEmail PosterUsers WebsiteYahooMSN
Top
webmestre
Ecrit le : Mardi 19 Mai 2020 à 09h06
Quote Post


Membre avancé
***

Groupe : Administrateur
Messages : 4532
Membre n° : 12
Inscrit le : 10/02/2004



Before putting the results, here is our press release for the attention of the three Dutch drivers excluded from last night's race.


Avant de mettre les resultats, voici notre communiqué à l'attention des trois pilotes Hollandais exclus de la course d'hier soir.


version en anglais:
-----------------------------------------------------------------------------------------
Hello,

I wanted to give you the explanation of our decision to exclude the three of you from the 05/18 race.

First of all, be aware that 3-server races require a very rigorous organization and constant attention to keep a reasonable end time for everyone. Most pilots must get up in the morning and it is imperative not to finish too late. Starting at 8:45 p.m., passing the free practice, time trial, 3 heats, 1/2 finals and finals is a challenge every evening. When we finished between 10 p.m. and 10:15 p.m., we worked very well. When it is between 10:15 p.m. and 10:30 p.m., this is normal. When it was between 10:30 p.m. and 11 p.m., we weren't very good, and after 11 p.m. it was catastrophic.

Last week (11/05 race), there were excessive ping problems which hampered the sporting development of the evening.
I did not want to relive an equivalent problem on 05/18. So as soon as I saw that your presence could lead us to similar problems, it tipped the balance towards your exclusion.

During round A1, 2 pilots among you were still wondering where they should go while I was ready to start the round. It showed that you had not assimilated our way of doing things, and that all the communication of the evening was through the discussion thread on the forum. You obviously hadn't read the presentation of the championship which explains everything in detail. Google is very efficient for translations and Laurent had made the effort to translate the regulations into English for you.

When we're trying to talk to you, you're not on Discord. If we want to explain things to you in English at the time of the race, we have no way of talking to you.
It is true that this was not the case for all 3, but I did not take the time to go into detail. Maybe some of you were respectful of our organization and should have continued. But seeing the time lapse and the end of the evening time go back as much (see the 1st point above), I did not want to do in detail.

We already had a Latvian and 2 Germans on certain races, and it went very well. But they were on Discord with the opportunity to speak.

When I saw the chat on server 1 the exchanges it ended up taking away my decision: When you are asked to push less, you do not answer that it is the others who are pushing: you are trying to improve and get better do both after. And it is this pretext that I gave you on the Discord Chat for your exclusion.

The real reasons are the ones I just gave you. A decision had to be made quickly. I may have done it indiscriminately, but we were able to continue and finish at a late hour (11 p.m.). I don't even dare imagine what time we would have finished with you.

In terms of contacts, it was a real slaughter on the last races. We will therefore take sanctions for the next official race. We have a regulation and we try to apply it with discernment. But on 05/18 evening, it was not possible to continue with you.

By cons on 05/25, there will be an OPEN evening and you can participate without worries. You just have to make sure you are on Discord so that we can communicate.

Olivier HOT
-----------------------------------------------------------------------------------------

et la version en Français:
-----------------------------------------------------------------------------------------
Bonjour,

Je voulais vous donner les explication sur notre décision de vous exclure tous les trois de la course du 18/05.

Tout d'abord sachez que les courses à 3 serveurs demandent une organisation très rigoureuse et une attention de tous les instants pour garder une heure de fin raisonnable pour tout le monde. La plupart des pilotes doivent se lever le matin et il est impératif de ne pas finir trop tard. En commençant à 20h45, passer les essais libre, essais chrono, 3 manches, 1/2 finales et finales est un challenge à chaque soirée. Lorsque on fini entre 22h et 22h15, on a tres bien travaillé. Lorsque c'est entre 22h15 et 22h30, c'est normal. Lorsque c'est entre 22h30 et 23h, on n'a pas été très bon, et au dela de 23h c'est catastrophique.

La semaine passée (course du 11/05), il y a eu des problemes de ping excessifs qui ont géné le deroulement sportif de la soirée.
Je ne voulais pas revivre un probleme équivalent le 18/05. Donc dès que j'ai vu que votre presence pouvait nous emmener vers des problemes similaires, ça a fait pencher la balance vers votre exclusion.

Lors de la manche A1, 2 pilotes parmis vous étaient encore à se demander où ils devaient aller alors que j'étais pres à lancer la manche. Ca montrait que vous n'aviez pas assimilé notre façon de faire, et que toute la communication de la soirée se passait par le fil de discussion sur le forum. Vous n'aviez visiblement pas lu la presentation du championnat qui pourtant explique tout dans le détail. Google est tres performant pour les traductions et Laurent avait fait l'effot de vous traduire le reglement en anglais.

Lorsque on essaie de vous parler, vous n'êtes pas sur Discord. Si on veut vous expliquer des choses en anglais au moment de la course, on n'a pas moyen de vous parler.
Il est vrai que ce n'était pas le cas de tous les 3, mais je n'ai pas pris le temps de faire dans le détail. Peut être que certains d'entre vous étaient respectueux de notre organisation et auraient mérité de continuer. Mais voyant le temps s'ecouler et l'heure de fin de soirée reculer d'autant (voir le 1er point plus haut), je n'ai pas voullu faire dans le détail.

On a déja eu un letton et 2 allemands sur certaines courses, et ça s'est tres bien passé. Mais ils étaient sur Discord avec la possibilité de parler.

Lorsque j'ai vu sur le Chat du serveur 1 les echanges ça a fini par emporter ma decision: Lorsque on vous demande de pousser moins, on ne repond pas que c'est le autres qui poussent: vous essaiyez de vous améliorer et de mieux faire la fois d'apres. Et c'est ce pretexte que je vous ai donné sur le Chat de Discord pour votre exclusion.

Les vraies raisons sont celles que je viens de vous donner. Il fallait prendre une decision rapidement. Je l'ai fait peut être sans discernement, mais on a pu continuer et finir à une heure tardive (23h). je n'ose même pas imaginer à quelle heure on aurait fini avec vous.

Pour ce qui est des contacts, ça a été une vraie boucherie sur les dernieres courses. On va donc prendre des sanctions pour la prochaine course officielle. On a un reglement et on essaie de l'appliquer avec discernement. Mais le 18/05 soir, ca n'etait pas possible de continuer avec vous.

Par contre le 25/05, il y aura une soirée OPEN et vous pourrez participer sans soucis. Il vous faudra juste vous assurer d'être sur Discord pour que l'on puisse communiquer.

Olivier HOT

-----------------------------------------------------------------------------------------




--------------------
Olivier HOT - Webmestre de ce site alias fast_fan sur rFactor
PMEmail PosterUsers WebsiteYahooMSN
Top
webmestre
Ecrit le : Mardi 19 Mai 2020 à 19h32
Quote Post


Membre avancé
***

Groupe : Administrateur
Messages : 4532
Membre n° : 12
Inscrit le : 10/02/2004



voici le résultat de la finale:
user posted image

le classement final:
user posted image

le classement des contacts:
user posted image

Podium:
user posted image

Le classement du championnat confiné 2020 :
user posted image

Et les replays:
Replays_SaintVincentDesLandes_20200518.exe


--------------------
Olivier HOT - Webmestre de ce site alias fast_fan sur rFactor
PMEmail PosterUsers WebsiteYahooMSN
Top
laurent31
Ecrit le : Mercredi 20 Mai 2020 à 11h38
Quote Post


Membre avancé
***

Groupe : Terre Web Group
Messages : 1405
Membre n° : 7
Inscrit le : 06/02/2004



Bonjour
Merci Olivier
Bien sûr ce classement est provisoire et ne prends pas en compte les Supervisions en cours
Bien sûr l'organisation se réserve le droit de sanctionner un pilote en fonction de son comportement comme le prévoit le règlement
On a essayé de compter sur le fair play des gens mais depuis plusieurs courses la seule chose qui ressort n'est pas de dire la soirée était sympa je me suis régalé etc... mais plutôt c'était une boucherie etc..
même en Open c'est n'importe quoi, et le fait de quelques uns aux départ se généralise car si tu ne pousses pas au premier et 2ième virage et ben tu n'as pas devant
j'en fait régulièrement l'expérience...

Pour ma part ce n'est plus possible, certains ont pris trop de libertés avec le règlement et aujourd'hui cela pose réellement des pbs

sachez que je vais revoir toutes les courses de Lundi et vous aurez un compte rendu détaillé comme je le faisais avant pour expliquer ce qu'il ne faut plus faire

les pilotes qui auront trop profiter d'avantages se feront sanctionner
il est intolérable pour moi qu'un pilote comme Timmo qui fait le meilleur temps aux essais se fasse sortir à TOUTES les manches et 1/2 finale
je lui ai demandé de me faire un détail de ce qui lui est arrivé c'est édifiant

nous connaissons ce phénomène car nous l'avons déjà expérimenté par le passé et il va y avoir 2 solutions à partir de ce jour

Soit vous respectez le règlement, on vous l'explique si besoin, soit vous allez crouler sous les sanctions, soit on vous sortira du jeu pour une semaine, 15 jours etc même sur le serveur 24/7
c'est là que l'on doit prendre les bonnes habitudes au quotidien

On a en ce moment en Championnat 3 manches à plus de 10 pilotes si ça ne roule pas propre c'est ingérable
Si les pilotes sanctionnés partent car ils ne veulent pas faire l'effort de rouler propre ce n'est pas un problème
le problème c'est que les pilotes propres arrêtent car ils en ont marre de se faire sortir

Moi je préfère rouler à 15 ou 20 proprement que ferrailler à 30...

On va rester sur l'esprit AXFOR qui est la convivialité dans le respect de l'autre, tu es derrière pour X raisons, le pilote devant toi va moins vite à toi d'être patient pour trouver l'ouverture



--------------------
Laurent HOT
PMEmail Poster
Top
laurent31
Ecrit le : Lundi 25 Mai 2020 à 20h09
Quote Post


Membre avancé
***

Groupe : Terre Web Group
Messages : 1405
Membre n° : 7
Inscrit le : 06/02/2004



Tout d’abord ce sont les faits nous ne stigmatisons personne c’est le reflet de ce qui a été vu ;-)
rien de personnel contre qui que ce soit et nous être objectif
Nous ressentons une nouvelle fois une lassitude de certains et cela nous dérange
Nous allons donc prendre le temps de regarder les replays et demander des sanctions à postériori, même si la tendance est de passer l’éponge …
Nous avons pu oublier des faits…
Méthode approuvée qui assainit le plateau
Rappel pour voir les Replays soit vous étiez dans la Manche et vous l’avez de fait dans vos replays
Sinon vous allez sur le lien que Olivier nous met à la fin de chaque course
Vous prenez les fichiers et dans les fichiers AXFOR vous allez dans ReplayFridge - Replays et vous y déposez tous les fichiers

Vous lancez le jeu et dans le 2ième onglet CONTROL- puis Reprises les fichiers sont là
Afin d’avoir une bonne vision je vous conseille de regarder dans votre position et dans la position de vos adversaires et en changeant les angles
Il faut tenir compte des trajectoires des vitesses etc

On essaye aussi dans nos commentaires d’être éducatif afin de vous faire comprendre ce que l’on attends de vous en terme de comportement

MA1
Départ relativement propre
Première épingle Anthony pousse et double Jouke (Régle 5 +5 s à la fin de la manche potentielles ou 5 places)
Fin 1er tour au bout de la ligne droite De Jong double Rémy avec block pass (Régle 6 +5 s à la fin de la manche potentielles ou 5 places)
A l’épingle en suivant Rémy pousse pour repasser (Régle 5 +5 s à la fin de la manche potentielles ou 5 places)
Il ne faut pas se faire justice
Dernier virage premier tour Jouke pousse Cyril (Régle 5 +5 s à la fin de la manche potentielles ou 5 places)
Jouke pousse De Jong dernier tour dernier virage (Régle 5 +5 s à la fin de la manche potentielles ou 5 places)

Vous voulez 2 beaux déplacements allez voir Timmo sur Rémy fin tour 2 et Fabien Tour 4 dans les épingles



MA2
Alexis pousse Laurent alors 2ième à la fin du premier tour et le met dans le talus et tonneau sans pouvoir rien faire
Cette action est demandée en Supervision places (Régle 5 +10 places à la prochaine course ou 10 places)

Thibault part de la pôle rate son freinage au premier virage et traverse le virage et emmène Josh avec lui
Fin premier tour
Fin premier tour Mathéo pousse Thibault et double (Régle 5 +5 s à la fin de la manche potentielles ou 5 places)
Tour 2 passage de Thibault à l’intérieur du virage parabolique les 4 roues à l’intérieur des vibreurs sans en tirer avantage


MA3

Départ correct, dans les épingles le Johan Dehaan fait un strike et repart dernier sylvain perd 2 places dans l’affaire
(Régle 5 +10 s à la fin de la manche potentielles ou 5 places et avertissement)
2ième tour dans les épingles Johan Dehaan pousse Enzo G et passe (Régle 5 +5 s à la fin de la manche potentielles ou 5 places)



MB1
Au départ Alexis G ne garde pas sa ligne (Règle 3) part à gauche et plonge à la corde attention !!
Nathan J de la 4ième ligne provoque 2 vagues en venant tourner dans les lignes devant lui il touche Laurent et Alexis et ressort 3 au bout c’est typiquement le genre de comportement qu’on ne veut plus voir car ce sont ces pratiques qui énervent tout le monde, surtout au départ
Si il n’y a personne, il traverse le virage et va toucher le talus
Cette action est demandée en Supervision règle 3 Pénalité de 10 places pour la prochaine soirée et avertissement
Tour 2 parabolique, beau dépassement de Timmo sur Séb et dans le pif paf en suivant sur Mathéo
Beau dépassement d’Anthony K sur Nathan J 2ième tour



MB2
Départ Correct Manche Correcte


MB3
Départ OK
Beau dépassement de Thibault M sur Joshua tour 4 dernier virage
Josh Block Pass sur Thomas H mais la récupère au virage d’après
RAS

MC1
Au départ Louka P est à 70 km/h et 9154 t/Min quand il a les roues au milieu du vibreur du premier virage
Autant dire qu’il arrive comme un fou, sans freiner ni lever le pied
Pour info dans la même situation Harry l devant lui au même endroit est à 50 km/H et 2660 T/min édifiant …
Bien sûr il provoque une énorme vague
Et au virage d’après il en remet une bonne à Rodolphe
Cette action est demandé en Supervision Régle 3 et 5 +10 places prochaine soirée et avertissement
Beau dépassement de Seb et Timmo sur Anthony K à la fin du premier tour, puis sur Rodolphe dans les épingles, et sur Seb un peu plus loin
Tour 3 BP de Joshua sur Antho K qui perd 2 places (Régle 5 +10 s à la fin de la manche potentielles)
Devant Timmo double Thomas dans la parabolique suite à un passage tout en glisse sur les vibreurs de la parabolique, le dépassement de la soirée
J’ai pu lire ici et là qu’il n’y avait même pas eu de beaux dépassements, dans cette manche Timmo a lui seul en a fait 4 dans la manche
Et quand je parle de dépassement içi ou avant, c’est sans contact, même pas d’appuis, qui sont autorisés, on est en auto cross quand même, il faut juste comprendre cette nuance et la mettre en pratique.


MC2
Au départ Cyril J. arrive un poil trop, vite et pousse Mathéo qui perd 2 places (Régle 5 +10 s à la fin de la manche potentielles)

Il y a 2 choses dans cette action , 1 Cyril arrive trop vite 2 Julien G en plongeant à la corde percute Cyril et accentue le phénomène
Quand on est exter au départ et qu’il y a 11 pilotes en grille il va inévitablement y avoir du monde à la corde, enroulez votre virage par l’extérieur, vous y gagnerez du temp et ne risquerez pas une sanction selon la règle 3

Dans les épingles du premier tour Sullyvan double Rémy et Fred R, Magnifique …
Dans la continuité BP de Rémy sur Fred et dépassement …(Régle 5 +5 s à la fin de la manche potentielles) puis derrière dans tous les virages il va taper Sullyvan plusieurs fois pour finalement le doubler en s’appuyant mais pas de façon irrégulière cette fois dernier virage tour 1
Sullyvan repasse très proprement dans les épingles du tour 3 et Rémy re-force le passage en poussant dans le virage du dernier tour, 2 fois : inacceptable, Sullyvan perd 2 places (Régle 5 +10 s à la fin de la manche potentielles)
Dans la foulée beau dépassement de Fred sur Rémy qui sort large
Parabolique dernier tour, Rémy pousse Fred 2 fois, très légèrement cette fois mais pour moi se sont les plus pénibles car vicieux et pourrait passer inaperçu ..et double une nouvelle fois en poussant…(Régle 5 +5 s à la fin de la manche potentielles)
Au final 4 dépassements 3 irréguliers dans cette manche et au final faire un toit dans le dernier virage tout seul
Les pilotes qui roulent devant se doivent d’être exemplaire, une erreur peut arriver, là ce n’est plus possible

A noter le départ très prudent de Nathan J suite à ces déboires de la manche précédente, c’est une excellente attitude !!

MC3

Départ RAS
Tour 2 dans les épingles beau dépassement de Thibault sur Laurent
Fin tour 2 Thibault accroche Alexis, n’en tire pas d’avantage mais Alex perd une place, fait de course typique
Derrière dans la parabolique dépassement impeccable de Thibault sur Alexis puis sur Laurent à nouveau dans le dernier virage du tour 3
au dernier tour dans les épingles
Dépassement de Louis sur Alexis en perdition à la fin du tour 3 puis sur Laurent au dernier tour dans les épingles
Devant belle bagarre entre Fabien et Kenrick, fabien part à la faute au tour 4 dans les épingles



DF1

Timmo est à la corde, il doit baisser sa vitesse puis pivoter une fois dans le virage , quand il veut re-accélerer il est à 3 m de la corde et il y a déjà du monde
Mathieu M a freiné comme il faut et au moment de pivoter il ne peut pas car bloquer entre 2 buggys
Mathieu n’a jamais re -accélerer il ne peut être reconnu responsable
Pas de fautes de Cyril pas de fautes de Louis
Timmo n’a pas eu de chances sa seule erreur aura été de ne pas garder sa corde vraiment
Oui il y a eu une vague mais pas de faute marquante d’un pilote donc fait de course
Avec Fred et Timmo, Rémy bloque Fred à l’exter, dé qu’il peut il s’inscrit dans le virage
Timmo lui vient planter le nez , avant de toucher Fred, voit qu’il n’est pas bien et essaye de contre braquer et le contact l’empêche de corriger le tir-C’est clairement un fait de course, dans la vue de Fred il ne peut pas voir Timmo
Timo n’aurait pas dû tenter une attaque là


DF2
Beau départ de la première ligne et beau premier tour des 3 premiers
Tour 2 dans l’épingle Thomas se met à l’équerre un peu trop est touché par Seb et Ken qui ne peuvent rien faire il perd une place fait de course
Seb rate son freinage au bout et tape le rail tout seul
Tour 5 Josh passe à l’intérieur des vibreurs avec les 4 roues sans en tirer avantage
Beau dépassement de Anthony au tour 5 dans la parabolique, il gagne 2 places d’un coup (ken et Josh) puis va doubler Thomas H avant que Ken ne reprenne sa place
Tour 2 au bout de la ligne droite Josh touche le rail et va taper Thibault qui perd 5 places, on est clairement dans le fait de course
Fin de tour 3 dernier virage, touchette de Thibault sur Rodolphe qui perd une place (Régle 5 +5 s à la fin de la manche potentielles ou 5 places)


FA
Départ correct comme quoi c’est possible même en finale
Faux départ de Thomas signalé par plusieurs pilotes à la fin de la manche (Régle 1 +10 s à la fin de la manche potentielles) en l’occurrence c’est le seul pilote à ne pas avoir fini la finale une pénalité ne changerait rien

Thomas B-pousse Kenrick sans en tirer avantage au premier virage
Virage 2 contact Laurent et Cyril les pilotes ne se voient pas fait de course ils repartent dernier et ne gênent personne
Thomas rate son freinage au 2ième virage se retrouve en travers et tape Josh, pas aidé par Rémy, fait de course
2 virages avant la fin du premier tour , Rémy pousse Ken dans le virage et double (Régle 5 + places prochaine course action demandée en Supervision) puis va se mettre en travers dans le dernier virage en balançant son buggy et viens taper Mathéo en manquant de peu de le mettre sur le talus
Kenrick repasse du coup
Tour 2 épingles , BP de Rémy sur Kenrick, il balance une nouvelle fois le cul du buggy et balaie tout sur son passage, du coup tape Ken et Matéo (Régle 5 + places prochaine course action demandée en Supervision)
Tour 5 beau dépassement de de Thomas H dans la parabolique il dépasse Antho et Thibault
Thibault perd 2 places et redouble Antho dans les épingles
Pas de chance pour Thomas qui casse une roue au même endroit que Timmo en demie finale
Beau dépassement de Cyril sur Laurent dans la chicane du 6ième Tour


Synthèse

Sur les demandes de Supervision :
Précisions que les demandes de Timmo ont été faites à ma demande
Manche 2 série 1 demande de Timmo
Pour moi on utilise la règle 0 puis la règle 3 c’est Nathan J responsable Sanction + 10places à la prochaine course
Manche 3 série 1 et avertissement
Pour moi départ inconsidéré de Louka P il arrive beaucoup trop vite et emporte tout, on ne peut pas laisser passer
(Régle 3 et 5 Sanction + 10places à la prochaine course et avertissement
Demie Finale A demande de Timmo on a regardé toutes les vues et personne n’a fait d’erreur flagrante, Timmo lui en fait une petite il a laissé de la place à la corde, pas de chance pour lui sur ce coup là il était au mauvais endroit au mauvais moment, tous les Superviseurs sont pour un fait de course
Pour sa 2ième demande clairement Fred n’y est pour rien, Timmo ne pouvait passer il a pris un risque inconsidéré malheureusement pour lui
Demandes de Laurent
Manche A2 poussettes de Alexis
Laurent repart dernier Règle 5 + 10 places à la prochaine course pour Alexis
Manche B1 comme vu dans le débrief Nathan J ne maitrise pas, son véhicule
Règle 3 Pénalité de 10 places pour la prochaine soirée et avertissement
Rémy Havet finale A Régle 5 +5 s Pénalité de 5 places pour la prochaine soirée sur le premier dépassement de Kenrick
Rémy Havet Régle 5 +5 s Pénalité de 5 places pour la prochaine soirée sur le 2ième dépassement de Kenrick
Soit 10 places pour le moment

Synthèse Supervision :

Nathan J + 10 places et sous avertissement
Louka P +10 places et sous avertissement
Alexis G + 10 places
Rémy Havet + 10 places

Maintenant une synthèse de toutes les fautes relevées sur la soirée sauf erreur :

Jouke (Régle 5 +5 places)
De Jong (Régle 6 +5 places)
Rémy (Régle 5 +5 places)
Jouke (Régle 5 +5 places)
Jouke (Régle 5 +5 places)
Mathéo (Régle 5 +5 places)
Johan Dehaan (Régle 5 +5 places)
Johan Dehaan (Régle 5 +5 places)
Joshua (Régle 5 + 10 places)
Cyril J. (Régle 5 +10 places)
Rémy (Régle 5 +5 places)
Rémy (Régle 5 +10 places)
Rémy (Régle 5 +5 places)
Thibault (Régle 5 +5 places)

Les superviseurs proposent de sanctionner tous les pilotes en appliquant une sanction minorée de 50 % en gage de bonne volonté (arrondi au supérieur si besoin):
Attention ce n’est que pour cette course
Ce qui donne
Jouke 8 places
J De Jong 3 places
Rémy 13 places
Mathéo 3 places
J Dehaan 5 places
Joshua 3 places
Cyril J 3 places
Thibault 3 places

Synthèse des pénalités
Nathan J + 10 places et sous avertissement
Louka P +10 places et sous avertissement
Alexis G + 10 places
Rémy Havet + 23 places et sous avertissement
Jouke 8 places et sous avertissement
J De Jong 3 places
Mathéo 3 places
J Dehaan 5 places
Joshua 3 places
Cyril J 3 places
Thibault 3 places

Un pilote sous avertissement, si il est sanctionné d’un autre avertissement lors de la soirée suivante sera exclu de la soirée, même à postériori, marquera zéro pour la soirée en ne pourra pas décompter ce 0 comme le prévoit le règlement




Pour mémoire vous pouvez demander une Supervision avant le Mardi 24h00 qui suit la course et nous nous réservons le droit de sanctionner ou rappeler à l’ordre certains comportements en soirée si il y a des grosses fautes en soirée
Le plus répandu étant je pousse et je double, on ne doit pas tirer avantage d’une poussette ;
Arrêtez vous et laisser repasser il n’y aura pas de sanctions Règle 5 Bis
Le but de ces Supervisions c’est de garder une bonne ambiance sur les courses et de faire en sorte que les pilotes se respectent, méthode approuvée qui assainit le plateau
A ce soir pour ceux qui rouleront

Laurent, pour les Superviseurs


--------------------
Laurent HOT
PMEmail Poster
Top
webmestre
Ecrit le : Lundi 01 Juin 2020 à 16h24
Quote Post


Membre avancé
***

Groupe : Administrateur
Messages : 4532
Membre n° : 12
Inscrit le : 10/02/2004



Résultats des demi finales :
série 1 :
user posted image

série 2 :
user posted image

Cumul:
user posted image


Voici la grilles de la finale (SERVEUR 1):
1 Matteo GOUZERH
2 Fabien Divry
3 Kenrick Hot
4 Fred RABAUD
5 Thomas Hamelet
6 Cyrille Jan
7 Laurent HOT
8 Anthony Kizirian
9 Benoit Hot
10 Thibault Martinet
11 julien gavard
12 Joshua Boucard Comptées:5 - reste :0
13 Guillaume JAUD
14 Remy Havet Comptées:12 - reste :0
15 Gabriele,Alexis Comptées:2 - reste :2

Vous pouvez aller sur le serveur 1.


--------------------
Olivier HOT - Webmestre de ce site alias fast_fan sur rFactor
PMEmail PosterUsers WebsiteYahooMSN
Top
0 utilisateur(s) sur ce sujet (0 invités et 0 utilisateurs anonymes)
0 membres :

Topic OptionsPages : (4) « Première ... 2 3 [4]  Reply to this topicStart new topicStart Poll

 



[ Script Execution time: 0.0695 ]   [ 12 queries used ]   [ GZIP activé ]


(c)2004 autocross-france.net