Powered by Invision Power Board


Pages : (4) 1 2 [3] 4  ( Aller vers premier message non lu ) Reply to this topicStart new topicStart Poll

> Championnat Confiné 2020 - Course 4
Rodolphe
Ecrit le : Lundi 11 Mai 2020 à 19h37
Quote Post


Membre avancé
***

Groupe : Membres
Messages : 117
Membre n° : 1198
Inscrit le : 01/02/2007



Présent
PMEmail Poster
Top
julien-gavard
Ecrit le : Lundi 11 Mai 2020 à 20h21
Quote Post


Membre
**

Groupe : Membres
Messages : 13
Membre n° : 1512882
Inscrit le : 31/10/2016



je m'inscris à la soirée
PMEmail Poster
Top
webmestre
Ecrit le : Lundi 11 Mai 2020 à 20h27
Quote Post


Membre avancé
***

Groupe : Administrateur
Messages : 4532
Membre n° : 12
Inscrit le : 10/02/2004



Voici les adresses des 3 serveurs:
167.114.251.81 serveur1.autocross-france.net
167.114.238.46 serveur2.autocross-france.net
167.114.250.196 serveur3.autocross-france.net


--------------------
Olivier HOT - Webmestre de ce site alias fast_fan sur rFactor
PMEmail PosterUsers WebsiteYahooMSN
Top
webmestre
Ecrit le : Lundi 11 Mai 2020 à 20h32
Quote Post


Membre avancé
***

Groupe : Administrateur
Messages : 4532
Membre n° : 12
Inscrit le : 10/02/2004



Liste des inscrits:
1 Rodolphe Bernard
2 Fabien Correger
3 Killian Dallolmo
4 Fabien Divry
5 sebastien feuillerat
6 Alexis Gabriele
7 Enzo Gautron
8 Julien Gavard
9 Sylvain Giraud
10 Matteo Gouzerh
11 Valentin Guillerme
12 Remy Havet
13 Emilien Hay
14 Kenny Holey
15 Kenrick Hot
16 Laurent Hot
17 cyrille Jan
18 Nathan Jarousseau
19 Guillaume Jaud
20 Anthony Kizirian
21 harry Lefol
22 Timmo Lefol
23 Louis Lejeune
24 Thibault Martinet
25 Nathan Moreau
26 Mathieu Morineau
27 Louka Poulain
28 Fred Rabaud
29 Yanis Viriot



--------------------
Olivier HOT - Webmestre de ce site alias fast_fan sur rFactor
PMEmail PosterUsers WebsiteYahooMSN
Top
webmestre
Ecrit le : Lundi 11 Mai 2020 à 20h35
Quote Post


Membre avancé
***

Groupe : Administrateur
Messages : 4532
Membre n° : 12
Inscrit le : 10/02/2004



catégories éligibles:
1 SuperBuggy
2 Buggy1600
3 BuggyCup


--------------------
Olivier HOT - Webmestre de ce site alias fast_fan sur rFactor
PMEmail PosterUsers WebsiteYahooMSN
Top
webmestre
Ecrit le : Lundi 11 Mai 2020 à 20h37
Quote Post


Membre avancé
***

Groupe : Administrateur
Messages : 4532
Membre n° : 12
Inscrit le : 10/02/2004



répartition pour les essais:
Serveur 1:
1 Sylvain Giraud
2 cyrille Jan
3 Alexis Gabriele
4 sebastien feuillerat
5 Louka Poulain
6 Kenrick Hot
7 harry Lefol
8 Remy Havet
9 Louis Lejeune
10 Julien Gavard


Serveur 2:
1 Nathan Moreau
2 Yanis Viriot
3 Guillaume Jaud
4 Kenny Holey
5 Laurent Hot
6 Fabien Divry
7 Matteo Gouzerh
8 Emilien Hay
9 Timmo Lefol
10 Anthony Kizirian

Serveur 3:
1 Thibault Martinet
2 Mathieu Morineau
3 Fred Rabaud
4 Fabien Correger
5 Rodolphe Bernard
6 Enzo Gautron
7 Killian Dallolmo
8 Valentin Guillerme
9 Nathan Jarousseau




--------------------
Olivier HOT - Webmestre de ce site alias fast_fan sur rFactor
PMEmail PosterUsers WebsiteYahooMSN
Top
webmestre
Ecrit le : Lundi 11 Mai 2020 à 20h56
Quote Post


Membre avancé
***

Groupe : Administrateur
Messages : 4532
Membre n° : 12
Inscrit le : 10/02/2004



Votes
22
28
18
25
61
54
19
37
41

Total : 305
mod 3 +1=3

Categorie:
Buggy CUP


--------------------
Olivier HOT - Webmestre de ce site alias fast_fan sur rFactor
PMEmail PosterUsers WebsiteYahooMSN
Top
webmestre
Ecrit le : Lundi 11 Mai 2020 à 21h17
Quote Post


Membre avancé
***

Groupe : Administrateur
Messages : 4532
Membre n° : 12
Inscrit le : 10/02/2004



Résultats des Essais :
série 1 :
user posted image

série 2 :
user posted image

série 3 :
user posted image

Cumul:
user posted image


Voici les grilles suivantes :

série 1 :
1 Killian Dallolmo
2 Remy Havet
3 Guillaume JAUD
4 Yanis Viriot
5 Fred RABAUD
6 Louis Lejeune
7 Gabriele,Alexis
8 Laurent HOT
9 fabien correger
Superviseurs :

série 2 :
1 Timmo LEFOL
2 sebastien feuillerat
3 Mathieu_Morineau
4 Sylvain GIRAUD
5 Emilien HAY
6 Anthony Kizirian
7 Valentin Guillerme
8 Rodolphe Bernard
9 kenny14
Superviseurs :

série 3 :
1 Thibault Martinet
2 Harry LEFOL
3 Matteo GOUZERH
4 Fabien Divry
5 Kenrick Hot
6 julien gavard
7 Nathan Moreau
8 Cyrille Jan
9 Enzo Gautron
Superviseurs :

Vous pouvez aller sur votre serveur.


--------------------
Olivier HOT - Webmestre de ce site alias fast_fan sur rFactor
PMEmail PosterUsers WebsiteYahooMSN
Top
webmestre
Ecrit le : Lundi 11 Mai 2020 à 21h37
Quote Post


Membre avancé
***

Groupe : Administrateur
Messages : 4532
Membre n° : 12
Inscrit le : 10/02/2004



Résultats de la manche A :
série 1 :
user posted image

série 2 :
user posted image

série 3 :
user posted image

Cumul:
user posted image


Voici les grilles suivantes :

série 1 :
1 Killian Dallolmo
2 Fabien Divry
3 Mathieu_Morineau
4 Guillaume JAUD
5 Harry LEFOL
6 Valentin Guillerme
7 Anthony Kizirian
8 Rodolphe Bernard
9 Enzo Gautron
Superviseurs :

série 2 :
1 Thibault Martinet
2 Remy Havet
3 Matteo GOUZERH
4 Emilien HAY
5 Louis Lejeune
6 julien gavard
7 Laurent HOT
8 Cyrille Jan
9 kenny14
Superviseurs :

série 3 :
1 Timmo LEFOL
2 sebastien feuillerat
3 Yanis Viriot
4 Kenrick Hot
5 Sylvain GIRAUD
6 Fred RABAUD
7 Nathan Moreau
8 fabien correger
9 Gabriele,Alexis
Superviseurs :

Vous pouvez aller sur votre serveur.


--------------------
Olivier HOT - Webmestre de ce site alias fast_fan sur rFactor
PMEmail PosterUsers WebsiteYahooMSN
Top
webmestre
Ecrit le : Lundi 11 Mai 2020 à 21h53
Quote Post


Membre avancé
***

Groupe : Administrateur
Messages : 4532
Membre n° : 12
Inscrit le : 10/02/2004



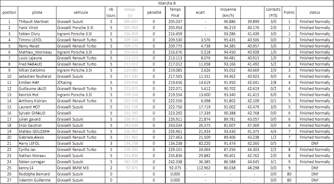
Résultats de la manche B :
série 1 :
user posted image

série 2 :
user posted image

série 3 :
user posted image

Cumul:
user posted image


Voici les grilles suivantes :

série 1 :
1 Thibault Martinet
2 Mathieu_Morineau
3 Fred RABAUD
4 sebastien feuillerat
5 Laurent HOT
6 julien gavard
7 Matteo GOUZERH
8 fabien correger
9 Rodolphe Bernard
Superviseurs :

série 2 :
1 Yanis Viriot
2 Timmo LEFOL
3 Killian Dallolmo
4 Emilien HAY
5 Kenrick Hot
6 Enzo Gautron
7 Gabriele,Alexis
8 Cyrille Jan
9 Valentin Guillerme
Superviseurs :

série 3 :
1 Fabien Divry
2 Remy Havet
3 Louis Lejeune
4 Guillaume JAUD
5 Anthony Kizirian
6 Sylvain GIRAUD
7 Harry LEFOL
8 Nathan Moreau
9 kenny14
Superviseurs :

Vous pouvez aller sur votre serveur.


--------------------
Olivier HOT - Webmestre de ce site alias fast_fan sur rFactor
PMEmail PosterUsers WebsiteYahooMSN
Top
webmestre
Ecrit le : Lundi 11 Mai 2020 à 22h08
Quote Post


Membre avancé
***

Groupe : Administrateur
Messages : 4532
Membre n° : 12
Inscrit le : 10/02/2004



Résultats de la manche C :
série 1 :
user posted image

série 2 :
user posted image

série 3 :
user posted image

Cumul:
user posted image

Cumul A B C:
user posted image


Voici les grilles suivantes :

série 1 :
1 Thibault Martinet
2 Timmo LEFOL
3 Fabien Divry
4 Yanis Viriot
5 Fred RABAUD
6 Matteo GOUZERH
7 Louis Lejeune
8 Kenrick Hot
9 Valentin Guillerme
10 Anthony Kizirian
11 Gabriele,Alexis
12 Nathan Moreau
13 Rodolphe Bernard
14 kenny14
Superviseurs :

série 2 :
1 Killian Dallolmo
2 Remy Havet
3 Mathieu_Morineau
4 sebastien feuillerat
5 Emilien HAY
6 Guillaume JAUD
7 Harry LEFOL
8 Laurent HOT
9 Sylvain GIRAUD
10 julien gavard
11 Enzo Gautron
12 Cyrille Jan
13 fabien correger

Superviseurs :

Vous pouvez aller sur votre serveur.


--------------------
Olivier HOT - Webmestre de ce site alias fast_fan sur rFactor
PMEmail PosterUsers WebsiteYahooMSN
Top
webmestre
Ecrit le : Lundi 11 Mai 2020 à 22h36
Quote Post


Membre avancé
***

Groupe : Administrateur
Messages : 4532
Membre n° : 12
Inscrit le : 10/02/2004



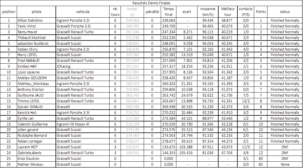
Résultats des demi finales :
série 1 :
user posted image

série 2 :
user posted image

Cumul:
user posted image


Voici la grilles de la finale (SERVEUR 1):
1 Killian Dallolmo
2 Yanis Viriot
3 Remy Havet
4 Thibault Martinet
5 sebastien feuillerat
6 Fabien Divry
7 Harry LEFOL
8 Fred RABAUD
9 Emilien HAY
10 Louis Lejeune
11 Matteo GOUZERH
12 Mathieu_Morineau
13 Anthony Kizirian
14 Guillaume JAUD
15 Timmo LEFOL

Vous pouvez aller sur le serveur 1.


--------------------
Olivier HOT - Webmestre de ce site alias fast_fan sur rFactor
PMEmail PosterUsers WebsiteYahooMSN
Top
remy havet
Ecrit le : Lundi 11 Mai 2020 à 22h52
Quote Post


Membre
**

Groupe : Membres
Messages : 20
Membre n° : 1528128
Inscrit le : 23/10/2017



Derrière va falloir s’améliorer c’est n’importe quoi ça pousse beaucoup trop.
PMEmail Poster
Top
Divry Fabien
Ecrit le : Lundi 11 Mai 2020 à 22h55
Quote Post


Membre avancé
***

Groupe : Membres
Messages : 189
Membre n° : 1512298
Inscrit le : 27/12/2015



Quand le règlement sera appliqué a la lettre sur les PING, malgré qu'on a de l'avance ça sera plus simple. Et quand je vois la finale c'est honteux de voir sa, et sa ira en plus sur YouTube, sa joue sa vie comme pour des championnats du monde faut arrêter. Moi je pense arrêter le championnat car c'est vraiment devenu une boucherie. A bon entendeur
PMEmail Poster
Top
webmestre
Ecrit le : Mardi 12 Mai 2020 à 03h20
Quote Post


Membre avancé
***

Groupe : Administrateur
Messages : 4532
Membre n° : 12
Inscrit le : 10/02/2004



voici le résultat de la finale:
user posted image

le classement final:
user posted image

le classement des contacts:
user posted image

Podium:
user posted image

Le classement du championnat confiné 2020 :
user posted image

Et les replays:
Replays_Sougy_20200511.exe


--------------------
Olivier HOT - Webmestre de ce site alias fast_fan sur rFactor
PMEmail PosterUsers WebsiteYahooMSN
Top
0 utilisateur(s) sur ce sujet (0 invités et 0 utilisateurs anonymes)
0 membres :

Topic OptionsPages : (4) 1 2 [3] 4  Reply to this topicStart new topicStart Poll

 



[ Script Execution time: 0.0487 ]   [ 13 queries used ]   [ GZIP activé ]


(c)2004 autocross-france.net